你提供的照片可能用于改善必应图片处理服务。
隐私政策
|
使用条款
无法使用此链接。检查链接是否以 "http://" 或 "https://" 开头,然后重试。
无法处理此搜索。请尝试其他图像或关键字。
试用视觉搜索
使用图像搜索、识别对象和文本、翻译或解决问题
将一个或多个图像拖到此处,
上传图像
或
打开相机
将图像放到此处以开始搜索
要使用可视化搜索,请在浏览器中启用相机
English
全部
搜索
图片
灵感
创建
集合
视频
地图
资讯
更多
购物
航班
旅游
笔记本
自动播放所有 GIF
在这里更改自动播放及其他图像设置
自动播放所有 GIF
拨动开关以打开
自动播放 GIF
图片尺寸
全部
小
中
大
特大
至少... *
自定义宽度
x
自定义高度
像素
请为宽度和高度输入一个数字
颜色
全部
仅限颜色
黑白
类型
全部
照片
剪贴画
素描
动画 GIF
透明
版式
全部
方形
横版
高
人物
全部
仅脸部
半身像
日期
全部
过去 24 小时
过去一周
过去一个月
去年
授权
全部
所有创作共用
公共领域
免费分享和使用
在商业上免费分享和使用
免费修改、分享和使用
在商业上免费修改、分享和使用
详细了解
清除筛选条件
安全搜索:
中等
严格
中等(默认)
关闭
筛选器
768×1024
scribd.com
KKT Conditions | PDF | Mathem…
1141×673
math.stackexchange.com
karush kuhn tucker - Solving optimization problem using KKT conditions - Mathem…
653×191
Stack Exchange
Help solving Convex Optimization problem using KKT conditions? - Mathematics Stack Exchange
744×174
chegg.com
Solved KKT - convex optimizationSolve the optimization | Chegg.com
553×491
math.stackexchange.com
vector analysis - Solve optimization problem …
899×406
Chegg
Solved Solve using the KKT conditions the optimization | Chegg.com
912×432
chegg.com
Solved Solve using the KKT conditions the optimization | Chegg.com
813×341
chegg.com
Solved Solve using the KKT conditions the optimization | Chegg.com
700×435
chegg.com
Solved Optimization: Please use KKT conditions for solving | C…
878×1163
chegg.com
Solved State and Write expli…
653×650
Stack Exchange
proof verification - KKT optimality c…
1024×349
Chegg
Solved Problem 3 Solve the following constrained | Chegg.com
797×114
chegg.com
Solved for each of the following optimization problems show | Chegg.com
612×159
chegg.com
Solved Set up the KKT conditions for the problem below and | Chegg.com
797×128
chegg.com
Solved for each of the following optimization problems show | Chegg.com
850×1100
researchgate.net
(PDF) KKT optimality con…
1635×700
chegg.com
Solved Question 2: Using KKT conditions, solve the following | Chegg.com
1920×519
chegg.com
Set up the KKT conditions for the problem below and | Chegg.com
895×186
chegg.com
Solving the problem by using KKT | Chegg.com
797×505
chegg.com
Solved for each of the following optimization problems show | Chegg.com
1238×429
chegg.com
Solved 5. Using KKT conditions show that the unique optimal | Chegg.com
700×528
math.stackexchange.com
Nonlinear KKT Optimization Problem - Mathematics Stack Exchange
765×96
chegg.com
Solved Write the KKT conditions, then solve the following | Chegg.com
1024×768
SlideServe
PPT - Tutorial 11 Constrained optimization Lagrange Multipliers KKT Conditions Pow…
2048×914
towardsdatascience.com
Constrained Optimization and the KKT Conditions | Towards Data Science
632×203
chegg.com
Solved Solve the following optimization problem with KKT | Chegg.com
515×126
chegg.com
Solved OPTIMIZATION - We have to do the following problem | Chegg.com
850×1100
researchgate.net
(PDF) KKT Conditions, Fir…
1015×442
chegg.com
Solved (a) Write out the KKT conditions for the following | Chegg.com
2112×770
chegg.com
Solved In this exercise, we use the KKT conditions to solve | Chegg.com
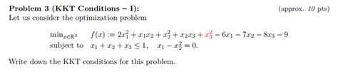
804×172
chegg.com
Solved Problem 3 (KKT Conditions – I): (approx. 10 pts) Let | Chegg.com
850×1290
researchgate.net
(PDF) The KKT optimality con…
214×62
chegg.com
Solved The basics of optimization courseLet's e…
1024×768
SlideServe
PPT - Constrained Optimization with Lagrange Multipliers and …
831×725
chegg.com
Problem 1 (Dual Optimization Problem an…
某些结果已被隐藏,因为你可能无法访问这些结果。
显示无法访问的结果
报告不当内容
请选择下列任一选项。
无关
低俗内容
成人
儿童性侵犯
反馈