English
全部
搜索
图片
视频
短视频
地图
资讯
更多
购物
航班
旅游
笔记本
报告不当内容
请选择下列任一选项。
无关
低俗内容
成人
儿童性侵犯
Math Music Brain 的热门建议
Math Music
for Study
Math Brain
Break Kindergarten
Math Music
Calm
Background
Music Math
Studying
Math Music
Maths Music
for Kids
Math Music
for Thinking
Relaxing Music
for Math
Math Study Music
to Concentrate
Studying Music
Homework
Mozart
Brain Music
Testing Music
for Kids
Music for Math
Concentration
时长
全部
短(小于 5 分钟)
中(5-20 分钟)
长(大于 20 分钟)
日期
全部
过去 24 小时
过去一周
过去一个月
去年
清晰度
全部
低于 360p
360p 或更高
480p 或更高
720p 或更高
1080p 或更高
源
全部
Dailymotion
Vimeo
Metacafe
Hulu
VEVO
Myspace
MTV
CBS
Fox
CNN
MSN
价格
全部
免费
付费
清除筛选条件
安全搜索:
中等
严格
中等(默认)
关闭
筛选器
Math Music
for Study
Math Brain
Break Kindergarten
Math Music
Calm
Background
Music Math
Studying
Math Music
Maths Music
for Kids
Math Music
for Thinking
Relaxing Music
for Math
Math Study Music
to Concentrate
Studying Music
Homework
Mozart
Brain Music
Testing Music
for Kids
Music for Math
Concentration
0:09
TikTok
trainyourmusicbrain
Musical Math Challenge: Solve the Note Equation!
Join the fun with our musical math challenge! Can you solve 1 quarter note + 3 eighth notes? Comment your answer! #musicalmath #musictheorychallenge Mr. Jordan(@trainyourmusicbrain). Romantic Spanish Guitar 1 - Erik Vargas Music. 🧠🎶 Musical Math Time! Can you solve this? 1 quarter note + 3 eighth notes = ? Comment your answer & tag a ...
已浏览 7908 次
8 个月之前
Music and mathematics Relationship
Various - Music From Mathematics
discogs.com
已浏览 914.3万 次
2021年10月15日
4:34
How a little mathematics can help create some beautiful music
phys.org
Andrew J. Milne,Steffen A.
2016年7月21日
15:00
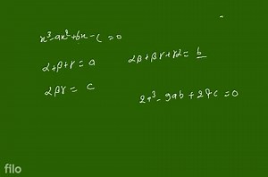
relationship between the zeroes and the coefficients. If the ze... | Filo
askfilo.com
已浏览 5847 次
2022年11月2日
热门视频
Math & Music Session
weebly.com
5 个月之前
2:17
App combines math and music to teach students equations
atlantanewsfirst.com
2023年10月19日
Reaching the Brain With Music | Neuroscience
labroots.com
4 个月之前
Music and mathematics Applications
Applied Mathematics for Musicians
berklee.edu
2017年4月8日
Pythagoras and Music (A Deep Dive + Examples Old & New)
producerhive.com
2022年9月14日
12:18
Math, Music, and Me
TED
已浏览 223 次
2018年1月11日
Math & Music Session
5 个月之前
weebly.com
2:17
App combines math and music to teach students equations
2023年10月19日
atlantanewsfirst.com
Reaching the Brain With Music | Neuroscience
4 个月之前
labroots.com
0:12
Learning Math with Music: Fun and Effective Techniques
已浏览 210万 次
2024年11月27日
TikTok
math0_100
1:20
Music may improve your math
2019年6月24日
DW.COM
0:28
How Music Enhances Math Skills in Children: A Proven Connection 🎵🧠📊 🖍
…
已浏览 314 次
1 个月前
TikTok
scooltastic.kids
5:05
The Brain's Secret Music Formula
已浏览 10 次
3 个月之前
YouTube
Key Footsteps Music
14:01
The Symphony of Numbers: How Music Supercharges Math Skills!
已浏览 1.2万 次
10 个月之前
YouTube
Fusion of Knowledge TV
0:11
1️⃣ Cognitive Development: 🧠🎶 🔍 Music enhances memory, problem-solvi
…
已浏览 215 次
2023年9月16日
Facebook
Narwhals and Waterfalls
Music and Math Connection: How Music can Help with You Be Bette
…
2022年8月22日
youvegotthismath.com
1:25
The BRAINpower of Music/ Mathletics Live (Level: 8, Rank: Hu
…
已浏览 4638 次
2022年1月9日
YouTube
Daniel's musical journey
3:51
Let's add up the beats together! | Musical Math | Fun and Easy Musi
…
已浏览 5753 次
2024年12月26日
YouTube
Smiley Note - Fun Children's Music Lessons
0:08
Musical Math time! Can you name one note value that solves this eq
…
已浏览 939 次
4 个月之前
YouTube
Train Your Music Brain
2:19
Study Music 💡: Music for Math and Logic: Boost Your Problem-Solvin
…
已浏览 7 次
8 个月之前
YouTube
Study Music 💡
3.6: Your Brain on Music
2021年6月15日
libretexts.org
0:10
Musical Math | How Many Beats In Total?
已浏览 2070 次
4 个月之前
YouTube
Train Your Music Brain
8:14
Learning Music Rewires Your Brain for Intelligence | Neuroscience Ex
…
已浏览 2769 次
1 个月前
YouTube
The Logic Room
4:29
Music: A Full Brain Workout
已浏览 9524 次
2020年11月9日
YouTube
BrainFacts.org
3:44
The Math of Music - TWO MINUTE MUSIC THEORY #32
已浏览 8.2万 次
2018年2月9日
YouTube
Jesse Strickland
4:01
The Math Behind Music
已浏览 3.4万 次
2015年4月1日
YouTube
NutshellEd
3:27
3 Simple Musical Thinking Steps - Teaching Math Facts
已浏览 489 次
2019年6月5日
YouTube
Lynne Kenney
1:00:01
Music for practicing MATHEMATICS. Practice Maths with me | Focus &
…
已浏览 35 次
1 年前
YouTube
Part of Cosmos
3:00
PARTS OF THE BRAIN SONG | Science Music Video
已浏览 42.6万 次
2019年1月8日
YouTube
Jam Campus
0:15
#music #mathematics # YouTube video # tricks # science # games
…
已浏览 3 次
4 个月之前
YouTube
Brain Booster Educational Hub
1:00
This is Your Brain on Music: How Playing an Instrument Shapes You
…
已浏览 1.8万 次
2024年10月15日
YouTube
Ben Rein, PhD
2:57
The Musical Brain
已浏览 1744 次
2023年1月18日
YouTube
BrainFacts.org
1:23:50
Music for Brain | Solving Maths | Study | Relax | Yoga | Meditation
已浏览 64 次
10 个月之前
YouTube
Singularity8K • 108M • 23 hour ago
0:14
Algebra Song Playlist for Math Help
已浏览 2.4万 次
2022年11月20日
TikTok
melodiesformath
0:58
This Is Your Brain on Music (Explained) 🧠 #neuroscience
已浏览 1491 次
6 个月之前
YouTube
Color Me Mozart
观看更多视频
更多类似内容
反馈